相関係数の標本分布について
はじめに
『心理統計学の基礎』のp.114に相関係数の標本分布が図示されている。確率密度関数は数学的にかなり複雑だからとの理由で省略される代わりに近似的にその期待値を求める式が載っている。
その標本誤差についてもやはり近似的に求める次のような式が載っている。
これらの近似的なものでもさして困らないのだけれど、どうせならどんな分布かを図示したいということで、シミュレーションである。
繰り返し乱数を発生させて分布を作る
とりあえず何も考えずに, (1) 2変量正規分布に従う乱数を発生, (2) 相関係数を計算, これをたくさん繰り返す。まぁ10000回ぐらいやってみましょうか。2変量の正規分布に従う乱数の発生にはmvtnormというパッケージを使う。
library(mvtnorm) size <- 64 mu <- c(0,0) rho <- 0.8 sigma <- matrix(c(1,rho,rho,1),nrow=2, ncol=2) sample.cor <- numeric(10000) # 保存用のベクトル for (ite.datageneration in 1:10000){ sample <- rmvnorm(n=size, mean=mu, sigma=sigma) sample.cor[ite.datageneration] <- cor(sample[,1],sample[,2]) }
それで計算された10000個の相関係数をヒストグラムにしたものが次の図。サンプルサイズは64で母相関は0.8(図中の赤線)である。

標準誤差の数式から明らかなように, サンプルサイズを増やせば標準誤差は小さくなる。母相関を固定したままNを256, 1024と増やすと次のようになる。

Nが1024だと, かなりの精度はよくなる。
相関係数の標本分布を求める
ところで, 今のは力技シミュレーションによる図示だった訳だが, やはり相関係数の標本分布の確率密度関数をずばっと図示したいのでやってみる。
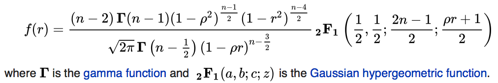
英語版WikipediaのPearson correlation coefficientの項を見ると, the exact distributionとして載っている。
Pearson correlation coefficient - Wikipedia

たしかに複雑だ。
はガンマ関数で、
がガウス型超幾何関数だそうだ。とりあえず, 数式を見ながらrでこの式を関数にする。
d.samplecor <- function(r, rho, size){ shisuu1 <- (size-1)/2 shisuu2 <- (size-4)/2 shisuu3 <- size - 3/2 bunshi <- (size-2) * gamma(size-1) * ((1 - rho^2)^shisuu1) * ((1-r^2)^shisuu2) bunbo <- sqrt(2*pi)* gamma(size - 1/2)*((1-rho*r)^shisuu3) choukika <- hypergeo(1/2,1/2,(2*size-1)/2,(rho*r+1)/2) value <- (bunshi/bunbo) * choukika return(Re(value)) }
超幾何関数を扱うにはそのものずばりなhypergeoというパッケージがあるらしくてその中にあるhypergeo関数を使っている。これをインストールしないと途中で止まる。
で, この関数-1から1までの範囲でとりあえず積分してみる。

計算の結果は誤差が0.000072で近似値が1である。面積が1になったということで, とりあえず確率密度関数にはなったのかな?
これを, さっきのシミュレーションのヒストグラムに重ねてみると, どうやらちゃんと確率密度関数になっているっぽい。

同じサンプルサイズでも母相関係数が違うと分布の精度はだいぶ違うものですね。
という訳で、無事に相関係数の標本分布の確率密度関数を図示することに成功した。というかなんで、自分はこんなことをやり始めたのだろうか?
ちなみに, この関数サンプルサイズが172ぐらいまでだと正しく計算できるけれど, それを越した場合にはガンマ関数の値が大きくなりすぎて計算不能になるのでご注意を。